Задание
32.а) Найти операционным методом
частное решение дифференциального уравнения
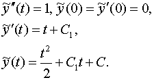
,
удовлетворяющее начальным условиям у(0)=0, у¢
(0)=0.
Решение.
Пусть y(t)=Y(p).
Тогда по свойству дифференцирования оригинала с учетом начальных условий имеем
.
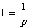
По таблице
.
Переходя в исходном дифференциальном уравнении к изображениям, получим соответствующее операторное уравнение
,
из которого находим
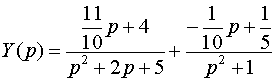
.
Разлагая эту дробь на элементарные, получим
.
Пользуясь таблицей, находим решение:
.
Задание 32. б) Найти операционным методом частное решение дифференциального уравнения
,
удовлетворяющее начальным условиям у(0)=0, у¢ (0)=0.
Решение.
Составим вспомогательное уравнение

Воспользуемся начальными условиями:
,
.
Итак,
.
Тогда
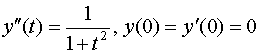
Задание 33. Найти решение уравнения
,
удовлетворяющее начальным условиям
.
Решение.
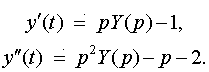
Пусть y(t)=Y(p). По свойству дифференцирования оригинала с учетом начальных условий имеем

По таблице:
.
Получаем соответствующее операторное уравнение
.
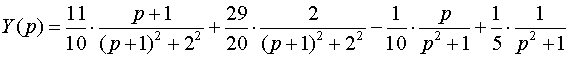
Находим Y(p):
,
или
.
Пользуясь таблицей, получим решение:
.
2. Применение формулы Дюамеля. При решении дифференциальных уравнений иногда удобно применять формулу Дюамеля (см. задание 31, пр. 2).
Пусть требуется решить обыкновенное дифференциальное уравнение п-го порядка с постоянными коэффициентами.
,
при нулевых начальных условиях
,
где f(t) – оригинал.
(Заметим, что простой заменой искомой функции задачу с ненулевыми начальными условиями можно свести к задаче с нулевыми условиями.)
Рассмотрим вспомогательное линейное дифференциальное уравнение
![]()
при тех же нулевых начальных условиях.
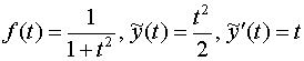
Предположим,
что известно решение этого дифференциального уравнения –
,
которое является оригиналом. Допустим, что искомое решение уравнения (1) –
также является оригиналом.
Для изображения введенных нами оригиналов используем обозначения:
,
,
.
Применяя
к левой и правой частям уравнений
и
преобразование Лапласа с учетом
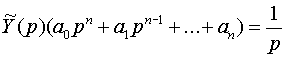
нулевых начальных условий, придем к операторным уравнениям
,
.
Разделив первое из этих уравнений на второе, получим соотношение
.
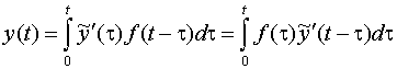
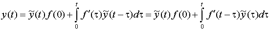
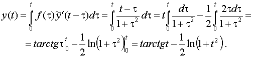
Применив интеграл Дюамеля и используя свойства свертки, получим искомое решение y(t) в виде

или в виде
.