НАХОЖДЕНИЕ ОРИГИНАЛА ПО ЕГО ИЗОБРАЖЕНИЮ
Для решения задачи о нахождении оригинала f (t) по известному изображению F(p) применяются следующие приемы, используемые при выполнении задания 31:
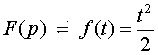
Пример 1.
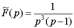
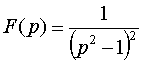
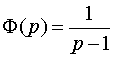
.
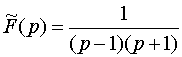
Решение. Пусть
,
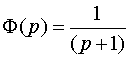
где
,
а
.
По таблице определяем оригиналы функций F(р) и Ф(р):
,
.
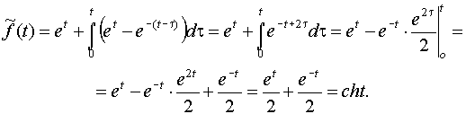
Искомый оригинал
определяем
как свертку оригиналов f (t)
и j (t)
.
2. Применение
формулы Дюамеля. Если
функция-оригинал f (t)
непрерывна на [0,+
), а функция-оригинал j (t)
непрерывно дифференцируема на [0,+
) и
,
,
то
.
Отсюда по теореме о дифференцировании оригинала
.
Это – так называемая формула Дюамеля.
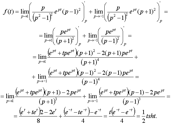
Пример 2.
.
Решение. Обозначим
искомый оригинал через
, т. е.
.
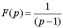
Пусть
,
а
.
Тогда
,
а
.
Находим
,
и
по формуле Дюамеля имеем


есть правильная рациональная дробь, то разлагают эту дробь на сумму простых дробей и находят оригинал для каждой простой дроби, используя свойства преобразования Лапласа.
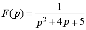
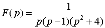
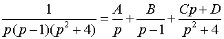
Пример 3.
.
Решение. Разлагаем F(p) в сумму простых дробей:
.
Находя коэффициенты А, В, С, D, получаем
.
С помощью таблицы определяем
.
Ответ:
.
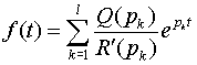
4. Применение второй теоремы разложения. Вторая теорема разложения утверждает, что при определенных условиях на F(p) оригиналом для F(p) служит функция
,
где сумма вычетов берется по всем особым точкам рk функции F(p).
В частности, если

правильная рациональная дробь, то оригиналом ее служит функция
,
(1)
где рk – полюсы F(p) кратности nk и сумма берется по всем полюсам F(p).
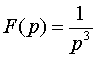
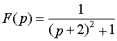
Пример 4.
.
Решение. Функция F(p) имеет полюс p1=1 и p2=-1каждый второго порядка. В формуле (1) n1=2, n2=2, l=2, k=1, 2.
По формуле (1) имеем

.
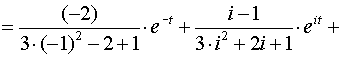
Пример 5.
.
Решение. Имеем случай, когда все полюса F(p) простые:
.
Тогда
,
,
,


,
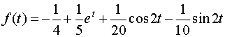
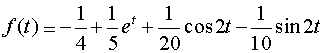
. Пример 6.
.
Решение. Поскольку
,
то
.
Имеем
.