Задание 32. Найти операционным методом частное решение дифференциального уравнения, удовлетворяющее заданным начальным условиям y(0)=0, y'(0)=0.
|
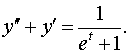
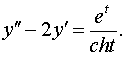
32.1. |
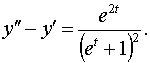
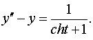
32.2. |
|
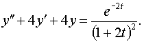
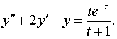
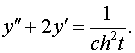
32.3. |
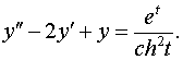
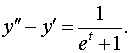
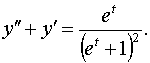
32.4. |
|
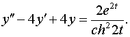
32.5. |
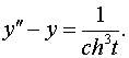
32.6. |
|
32.7. |
32.8. |
|
32.9. |
32.10. |
|
32.11. |
32.12. |
|
32.13. |
32.14. |
|
32.15. |
32.16. |
|
32.17. |
32.18. |
|
32.19. |
32.20. |
|
32.21. |
32.22. |
|
32.23. |
32.24. |
|
32.25. |
32.26. |
|
32.27. |
32.32. |
|
32.29. |
32.30. |