Возникли трудности? Посмотри приведенное ниже решение.
а)Найти
операционным методом частное решение дифференциального уравнения
,
удовлетворяющее начальным условиям у(0)=0, у¢(0)=0.
Решение.
Пусть y(t)=Y(p). .
Тогда по свойству дифференцирования оригинала с учетом начальных условий имеем
.
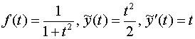
По таблице
.
Переходя в исходном дифференциальном уравнении к изображениям, получим соответствующее операторное уравнение
,
из которого находим
.
Разлагая эту дробь на элементарные, получим
.
Пользуясь таблицей, находим решение:
.
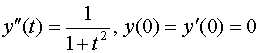
б) Найти операционным методом частное решение дифференциального уравнения
,
удовлетворяющее начальным условиям у(0)=0, у¢(0)=0.
Решение.
Составим вспомогательное уравнение

Воспользуемся начальными условиями:
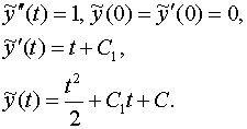
,
.
Итак,
.
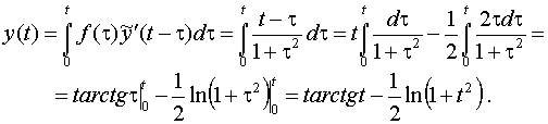
Тогда
