Задание 31. Найти оригинал по заданному изображению.
|
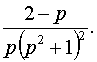
31.1. |
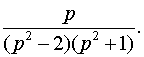
31.2. |
|
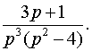
31.3. |
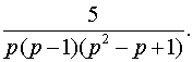
31.4. |
|
31.5. |
31.6. |
|
31.7. |
31.8. |
|
31.9 |
31.10. |
|
31.11. |
31.12. |
|
31.13. |
31.14. |
|
31.15. |
31.16. |
|
31.17. |
31.18. |
|
31.19. |
31.20. |
|
31.21. |
31.22. |
|
31.23. |
31.24. |
|
31.25. |
31.26. |
|
31.27. |
31.28. |
|
31.29. |
31.30. |