Задание 34. Решить систему дифференциальных уравнений
а)

при
начальных условиях
.
Решение.
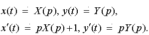
Переходим к изображениям, используя свойства дифференцирования оригинала и данные начальные условия:

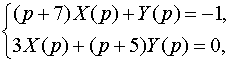
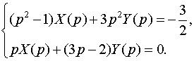
Получим систему операторных уравнений

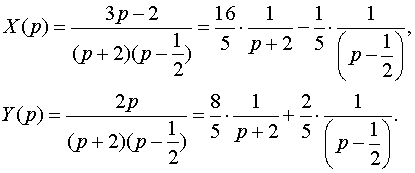
решая которую получим

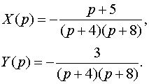
Разлагая правые части полученных уравнений на элементарные дроби, имеем

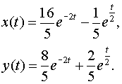
По таблице изображений находим оригиналы и получаем решение данной системы дифференциальных уравнений.

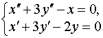
б)

при
начальных условиях 
Решение.
Аналогично а) получаем изображающую (операторную) систему алгебраических уравнений

Решение этой системы таково:

Обратное преобразование Лапласа приводит к искомому решению задачи Коши для заданной системы:

