Задание 34. Решить систему дифференциальных уравнений операционным методом.
|
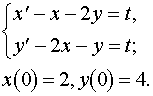
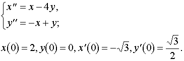
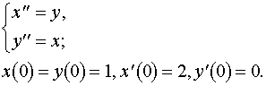
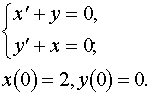
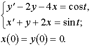
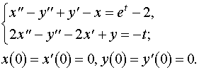
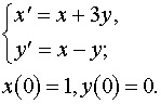
34.1. |
|
|
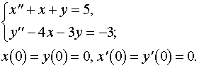
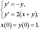
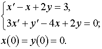
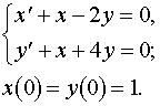
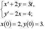
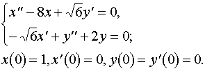
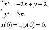
34.2. |
|
|
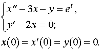
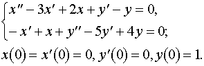
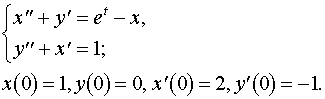
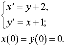
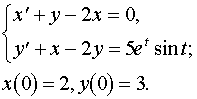
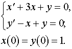
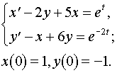
34.3. |
|
|
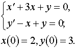
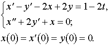
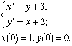
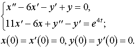
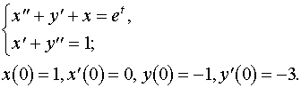
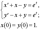
34.4. |
|
|
34.5. |
|
|
34.6. |
|
|
34.7. |
|
|
34.8. |
|
|
34.9. |
|
|
34.10 |
|
|
34.11. |
|
|
34.12. |
|
|
34.13. |
|
|
34.14. |
|
|
34.15. |
|
|
34.16. |
|
|
34.17. |
|
|
34.18. |
|
|
34.19. |
|
|
34.20. |
|
|
34.21. |
|
|
34.22 |
|
|
34.23. |
|
|
34.24. |
|
|
34.25. |
|
|
34.26. |
|
|
34.27. |
|
|
34.28. |
|
|
34.29. |
|
|
34.30. |
|