Возникли трудности? Посмотри приведенное ниже решение.
Задание 33. Найти решение уравнения
,
удовлетворяющее начальным условиям
.
Решение.
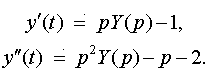
Пусть y(t)=Y(p). По свойству дифференцирования оригинала с учетом начальных условий имеем

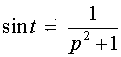
По таблице:
.
Получаем соответствующее операторное уравнение
.
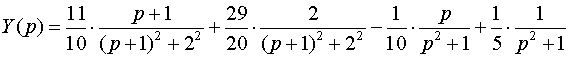
Находим Y(p):
,
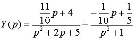
или
.
Пользуясь таблицей, получим решение:

.
2. Применение формулы Дюамеля. При решении дифференциальных уравнений иногда удобно применять формулу Дюамеля (см. задание 31, п. 2).
Пусть требуется решить обыкновенное дифференциальное уравнение п-го порядка с постоянными коэффициентами.
,
при нулевых начальных условиях
,
где f(t) – оригинал.
(Заметим, что простой заменой искомой функции задачу с ненулевыми начальными условиями можно свести к задаче с нулевыми условиями.)
Рассмотрим вспомогательное линейное дифференциальное уравнение
![]()
при тех же нулевых начальных условиях.
Предположим,
что известно решение этого дифференциального уравнения –
,
которое является оригиналом. Допустим, что искомое решение уравнения (1) –
также является оригиналом.
Для изображения введенных нами оригиналов используем обозначения:
,
,
.
Применяя
к левой и правой частям уравнений
и
преобразование Лапласа с учетом
нулевых начальных условий, придем к операторным уравнениям
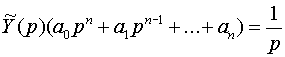
,
.
Разделив первое из этих уравнений на второе, получим соотношение
.
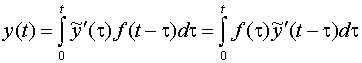
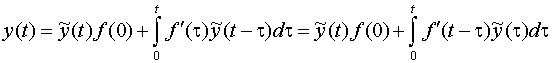
Применив интеграл Дюамеля и используя свойства свертки, получим искомое решение y(t) в виде

или в виде
.