
Задание
18.
Найти все особые точки функции в плоскости
и
выяснить их характер
а)
;
б)
; в)
;
Решение:
а) Функцию
можно представить в виде

Воспользовавшись теперь сделанным выше замечанием, имеем: ± 1 – полюсы первого порядка (простые полюсы); ± i – полюсы второго порядка.
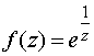
б) Докажем, что точка z=0 является существенно особой точкой .
Функция
регулярна в кольцевой области {z:
0<|z|<¥ }.
Покажем,
что не существует ни конечного, ни бесконечного предела f (z)
при z® 0. Если z стремится к нулю
вдоль положительной части действительной оси, (z=x>0), то
,
однако
. Таким образом,
не существует, следовательно, z=0 – существенно особая точка для
.
Точка z=¥ является
точкой, в которой функция f (z) регулярна.
в) Найдем нули знаменателя f(z), т. е. корни уравнения
.
Из равенства
следует, что знаменатель у функции
f (z) обращается в нуль в точках
,
k=0, ± 1,…,
которые и будут полюсами первого порядка для f (z).
Точка z=0 – не изолированная особая точка, ибо она является предельной
для полюсов. z=¥
– точка, в которой функция f (z) регулярна.
Приведем еще несколько примеров исследования особых точек
Пример 1. Исследовать характер бесконечно удаленной точки для следующих функций:
а)
; б)
.
Решение.
а) Производя замену
, получим
соотношение

Раскладывая полученную функцию в ряд по степеням x , найдем, что при |x |<1 справедливо представление
,
и, следовательно,
,
из которого заключаем, что точка z=¥ для функции f (z) является правильной точкой.
б) Область {z: 0<|z|<¥ } является окрестностью точки z=¥ для функции f (z).
Разложим в этой области данную функцию в ряд Лорана по степеням z:

Таким образом, точка z=¥ является полюсом третьего порядка.
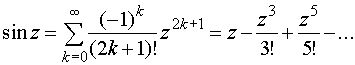
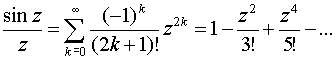
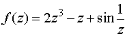
Пример
2. Исследовать характер особой точки z=0 для функции
.
Решение. Разложим эту функцию в ряд Лорана в окрестности точки z=0. Так как
,
то
.
В этом
разложении главная часть отсутствует, следовательно, точка z=0 является
устранимой особой точкой функции
.