Задание 18.
Найти все изолированные однозначного характера особые точки функции f (z)
в расширенной плоскости комплексного переменного
и определить их тип.
|
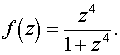
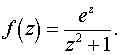
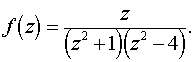
18.1. |
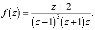
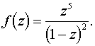
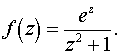
18.2. |
|
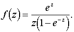
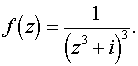
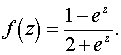
18.3. |
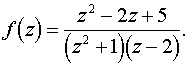
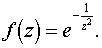
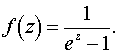
18.4. |
|
18.5. |
18.6. |
|
18.7. |
18.8. |
|
18.9. |
18.10. |
|
18.11. |
18.12. |
|
18.13. |
18.14. |
|
18.15. |
18.16. |
|
18.17. |
18.18. |
|
18.19. |
18.20. |
|
18.21. |
18.22. |
|
18.23. |
18.24. |
|
18.25. |
18.26. |
|
18.27. |
18.28. |
|
18.29. |
18.30. |