З а д а ч а 9
Задача № 9. Условный экстремум функции.
Функция
имеет условный
максимум (минимум) в точке
если существует
такая окрестность точки
для всех точек
которой, удовлетворяющих
уравнениям связи
выполняется
неравенство
.
Исследование функции на условный экстремум сводят к исследованию на обычный экстремум функции Лагранжа

Константы
называют множителями
Лагранжа.
Необходимые условия условного экстремума выражаются системой

Решение
системы
даёт
координаты точки
(или
системы точек), в которой возможен
условный экстремум.
Достаточные
условия условного экстремума
вытекают из исследования на знак
при условии, что
дифференциалы
удовлетворяют уравнениям
Точнее
говоря, функция
имеет
условный максимум (минимум) в точке
, если для
всевозможных наборов
, удовлетворяющих (10.2), выполняется
неравенство
![]()
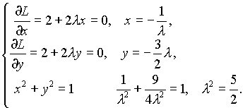
Пример9.1 Найти
условный экстремум функции z
= 2x + 3y,
при условии ![]()
Решение: Составим функцию Лагранжа
![]()
Имеем

Система имеет два решения

Далее

При
поэтому функция z
= 2x + 3y в
точке
имеет
условный минимум, а при
следовательно
функция z = 2x + 3y имеет в точке
условный максимум.
Пример 9.2. Найти
условные экстремумы функции
при наличии
ограничения ![]()
Решение: Построим функцию Лагранжа
![]()
Стационарные точки определим из системы

Умножим первое уравнение на x, а второе - на y. После вычисления получим
![]()
Если
, то из первых двух
уравнений системы x = y = 0.
![]()
Но такие значения
переменных x и y
не
удовлетворяют уравнению связи.
Значит
, и так
как
то из (10.3) имеем x = y. Подставляя это
в уравнение связи, получаем откуда x
= y = 1.
Таким образом, из
Итак,
единственная стационарная точка
функции Лагранжа.
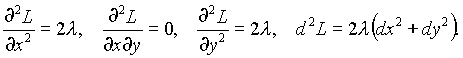
Далее,

Тогда для
при

получаем

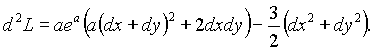
Из уравнения связи при x = y находим соотношение для дифференциалов dx и dy, dx + dy = 0.
Подставляя dy = - dx в (10.4), получаем равенство

Поэтому при
a > 0 в точке
функция имеет
условный максимум, а при a
< 0 – условный минимум.
Экстремальное значение равно ![]()