З а д а ч а 8
Задача № 8. Локальный экстремум функции нескольких переменных.
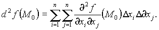
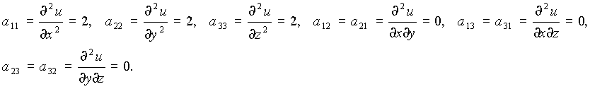
Функция u = f(M) имеет в точке
локальный
максимум (минимум), если существует
такая окрестность точки
, для всех точек
которой,
отличных от
,выполняется
неравенство ![]()
Необходимое условие экстремума:
Если
дифференцируемая функция u
= f(M) достигает экстремума
в точке
, то
![]()

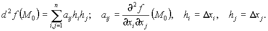
Точки, в которых выполняется (9.2), называют стационарными.
Достаточное условие экстремума:
Пусть
-
стационарная точка функции.
Предположим, что функция u
= f(x) дважды непрерывно
дифференцируема в окрестности
и
- значение второго
дифференциала в точке
, то есть

Легко
заметить, что
является
квадратичной формой относительно ![]()
Тогда:
1. Если
, как функция
имеет
постоянный знак при всевозможных
наборах
значений не равных
нулю одновременно, то функция имеет
в точке
экстремум, а именно
максимум, при
и минимум при ![]()
2. Если
является
знакопеременной функцией
то есть
принимает как положительные так и
отрицательные значения, то точка
не является
точкой экстремума.
3. Если
или
, причём
существуют такие
при которых
то функция u = f(M) в точке
может иметь
экстремум, а может и не иметь. В этом
случае можно провести
дополнительное исследование.
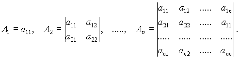
Что бы выяснить будет ли квадратичная форма

знакопостоянной, применяют критерий Сильвестра.
Положим,

1. Для того,
чтобы
была
знакоположительна, то есть
при любых
наборах
необходимо и
достаточно, чтобы выполнялись
неравенства ![]()
2. Для того, чтобы
была
знакоотрицательна, то есть
при любых
наборах
необходимо и
достаточно, чтобы знаки чисел
чередовались,
причём
т.е. ![]()
Применим критерий Сильвестра для случая функции двух переменных z = f(x, y). Положим

Тогда:
1. Если
> 0, то функция z
= f(x, y) имеет в точке
экстремум, а
именно максимум при A < 0 (C
< 0) и минимум при A
> 0 (C > 0).
2. Если
< 0, то функция z
= f(x, y) в точке
экстремума
не
имеет.
3. Если
= 0, то для решения
вопроса об экстремуме в точке
требуется
дополнительное исследование.
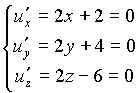
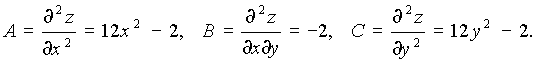
Пример 8.1. Исследовать на экстремум функции
![]()
![]()
Решение. а) Определим стационарные точки из системы

Откуда имеем единственную стационарную точку: х = - 1, у = - 2, z = 3. Воспользуемся достаточным условием

Таким образом,

то есть,
согласно критерию Сильвестра,
представляет
собой положительно определённую
квадратичную форму.
Следовательно,
в точке
функция имеет
минимум.
![]()
б) Находим,

Стационарные точки определяются из системы

Она имеет
три решения
Для применения
достаточных условий локального
экстремума вычислим вторые
производные

Составим
выражение
В
точке
следовательно,
необходимы дополнительные
исследования.
Рассмотрим
z(0, 0) = z(h,
k) - z(0, 0).
При
имеем ![]()
При
имеем
Таким
образом, приращение
z(0, 0) принимает
значения разных знаков, а поэтому в
точке
экстремума
нет.
Далее в
точках
и так
как
то в этих
точках достигается минимум, причём
![]()
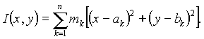
Пример 8.2.
На плоскости даны n точек
в которых
сосредоточенны массы
Требуется найти на
этой плоскости точку
такую относительно
которой момент инерции указанной
системы материальных точек
минимален.
Решение. Момент инерции относительно точек равен

Таким
образом, задача сводится к
отысканию точки
в
которой функция I(x, y) достигает
своего минимума.
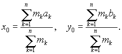
Имеем
откуда единственной стационарной точкой будет точка с координатами

Далее, так как

и значит
функция I(x, y)
имеет в
точке
локальный минимум.
Нетрудно увидеть, что значение функции I(x, y) в этой точке является минимальным.