З а д а ч а 7
Задача № 7. Касательная плоскость и нормаль к поверхности.
Касательная
плоскость к поверхности в её точке
(точка касания)
есть плоскость, проходящая через
и содержащая в
себе все касательные, проведённые в точке
ко всевозможным
кривым, проведённым на поверхности
через точку ![]()
Нормалью к
поверхности в точке
называется прямая,
проходящая через точку
и
перпендикулярная к касательной
плоскости, проведённой в этой
точке.
Если
уравнение поверхности имеет вид F(x,
y, z)=0, то уравнение
касательной плоскости в точке
имеет вид:
![]()
Уравнение
нормали к этой поверхности в точке
есть

В случае явного задания поверхности уравнением (8.1) и (8.2) примут вид

Пример 7.1.
Найти уравнение касательной
плоскости и уравнение нормали к
поверхности
в точке ![]()
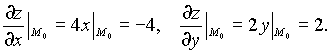
Решение: Имеем

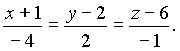
Тогда, согласно (8.3) уравнение касательной плоскости к данной поверхности в указанной точке будет иметь вид: z - 6 = - 4(x + 1) + 2(y - 2), то есть 4x - 2y + z + 2 = 0, а уравнение нормали

Пример 7.2. Найти уравнение касательной плоскости и нормали к косинусу

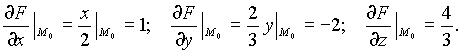
Решение. Имеем

Тогда

Уравнение касательной плоскости запишем в виде
