З а д а ч а 6
Задача № 6. Производная по направлению, градиент.
Пусть
- единичный
вектор данного направления
- радиус-вектор
точки ![]()
Производная
функции u = u(x, y, z) в
точке
по направлению
определяется
соотношением (7,* )

Отметим,
что
характеризует
скорость изменения функции u(x,
y, z) в
направлении ![]()
Для
вычисления
имеет место формула (7.1).

Градиентом функции u(x, y, z) называют вектор grad u, координаты которого являются частными производными функции u(x, y, z), то есть

Ясно, что

Пример. Дана функция
Найти grad
u и
в направление
вектора
в
точке ![]()
Решение. Найдём
направляющие косинусы вектора ![]()

Тогда
единичный вектор ![]()
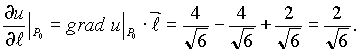
Далее, согласно (7.2)
![]()
а значит ![]()
Таким образом,
