З а д а ч а 10
Задача № 10. Найти наибольшее и наименьшее значение функции в области:
Для того чтобы найти наибольшее и наименьшее значение функции необходимо найти стационарные точки внутри области, вычислить значения функции в этих точках и сравнить с верхней и нижней гранью на границе области.
Пример. ![]()
Решение:
Функция z непрерывна в
замкнутом круге
Поэтому,
согласно известной теореме
Вейерштрасса, она на этом множестве
достигает своей верхней и нижней
грани. Очевидно, верхняя грань –
это наибольшее значение функции, а
нижняя грань – наименьшее.
Система

имеет
решение x = 4,
y = 6 и так как 16 +
36 = 52 > 16, в круге
решений нет. Поэтому
экстремум достигается на границе
круга ![]()
Составим функцию Лагранжа
![]()
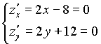
Для определения точек локального экстремума функции Лагранжа решим систему уравнений

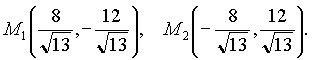
Итак, находим две точки возможного экстремума

Вычислим значения функции в этих точках

Следовательно,
