Задача 7
Home Up Задача 1 Задача 2 Задача 3 Задача 4 Задача 5 Задача 6 Задача 7 Задача 8 Задача 9 Задача 10

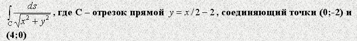
Вычислить криволинейные интегралы


1)


2)


3)


4)


5)


6)


7)


8)


9)


10)