Задача 2
Home Up Задача 1 Задача 2 Задача 3 Задача 4 Задача 5 Задача 6 Задача 7 Задача 8 Задача 9 Задача 10

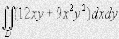
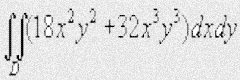
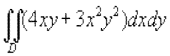
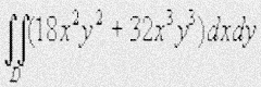
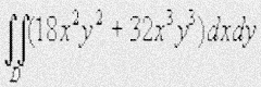
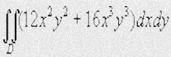
............................................................................................................Вычислить
 


1);


2);


3);


4);


5);


6);


7);


8);


9);


10);