Задание 19. Найти вычеты функции f (z) относительно всех ее изолированных особых точек и относительно бесконечно удаленной точки (если она не является предельной для особых точек).
|
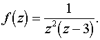
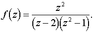
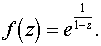
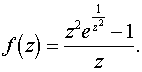
19.1. |
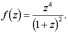
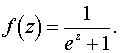
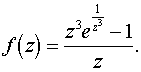
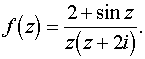
19.2. |
|
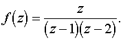
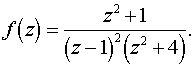
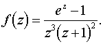
19.3. |
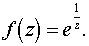
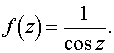
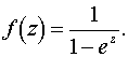
19.4. |
|
19.5. |
19.6. |
|
19.7. |
19.8. |
|
19.9. |
19.10. |
|
19.11. |
19.12. |
|
19.13. |
19.14. |
|
19.15. |
19.16. |
|
19.17. |
19.18. |
|
19.19. |
19.20. |
|
19.21. |
19.22. |
|
19.23. |
19.24. |
|
19.25. |
19.26. |
|
19.27. |
19.28. |
|
19.29. |
19.30. |