ВЫЧЕТЫ И ИХ ВЫЧИСЛЕНИЯ
Прежде чем определить понятие вычета, приведем одну лемму.
Лемма. Если функция F(z) регулярна в кольце {z:r<|z–a|<R}, то интеграл
,
r<r <R, не зависит от r.
Пусть z=a
– изолированная особая точка однозначного характера функции f (z).
Вычетом функции f (z) в точке
z=a (а
) называется величина
(r
>0 – любое достаточно малое число). При а=
(R>0 – любое достаточно большое число). Направление интегрирования выбрано так, чтобы внутренность круга осталась слева.
Независимость интегралов в последних формулах от r и R соответственно следует из леммы.
Можно дать более единообразное определение вычета.
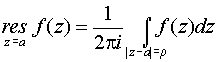
Пусть функция f (z) регулярна в некоторой проколотой окрестности конечной или бесконечно удаленной точки z=a. Тогда вычет в точке а равен деленному на 2pi интегралу от f (z) по границе любой достаточно малой окрестности точки а, ориентированной в положительном направлении.
Очевидно,
что
, если а (а)
– точка регулярности функции f (z). Однако вычет в бесконечно
удаленной точке может оказаться отличным от нуля и для функции, регулярной в
¥ .
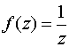
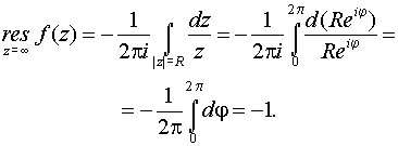
Например, для функции

имеем

Основные формулы для нахождения вычетов:
1. Если а – устранимая особая точка для функции f (z), то
.
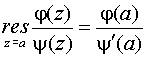
2. Если а – полюс первого порядка функции f (z), то
,
В частности, если
,
где j(z)
и y(z) – регулярные в точке а
функции, причем j(а)
0, y(а)
0,
y¢(а)
0, то точка а является простым полюсом функции f (z)
и
.
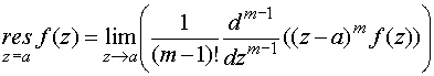
3.
Если точка а – полюс порядка т
1 для функции f (z), то
.
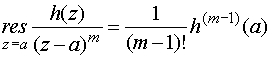
В частности,
если
, h(z) –
регулярна в точке а, h(а)0,
то справедлива формула
.
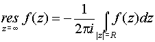
4. Если
f (z) регулярна в точке z=,
то
,
где
.
5. Если функция f (z) представима в виде
,
где функция
регулярна в точке x
=0, то
.
Приведем еще одну, важную для практического вычисления вычетов теорему.
Теорема.
Если z=a (а
) – изолированная особая точка однозначного характера функции f (z),
то
,
где с–1
– коэффициент при
в ряде Лорана
функции f (z) в окрестности точки z=a и
,
где с-1
– коэффициент при
в ряде Лорана
функции f (z) в окрестности точки z=.