Возникли трудности? Посмотри приведенное ниже решение.
Задание 29. Найти изображение функции, заданной графически.

Решение.
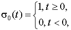
Воспользовавшись определением единичной функции Хевисайда

запишем уравнений оригинала, заданного рис. 2, в виде
.
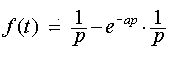
Применяя теорему запаздывания имеем
,
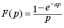
итак
.