Возникли трудности? Посмотри приведенное ниже решение.
Задание 28. Найти изображения функций:
а) f (t)=cos2t (здесь и далее считается, что f (t)=0 при t<0);
б) f (t)=chаt×sinbt; в) f (t)=e–4b×sin3t×cos2t.
Решение:
а) Воспользуемся формулой
.
Используя далее свойства линейности, подобия и формулу (5) из таблицы изображений, имеем
,
т. е.
.
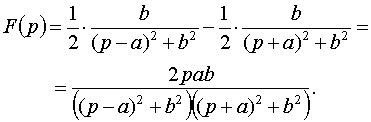
б) Поскольку
,
то
.
Применяя свойства линейности и формулу (8) из таблицы изображений, получим

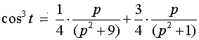
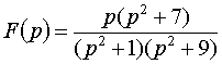
в) Преобразуя произведение тригонометрических функций в сумму, имеем
.
Далее, аналогично примеру б), получим
.