7. Ряды и их применение.
7.1. Числовые ряды. Применение степенных рядов.
7.2. Вычисление интегралов с помощью вычетов.
7.3. Применение рядов Фурье..
7.1. Числовые
ряды. Применение степенных рядов.
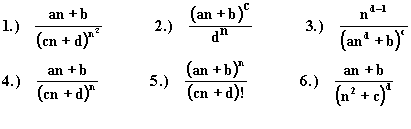
Задача 1. С точностью e =10-3 найти суммы трех из 7 рядов, предварительно доказав их сходимость. Вычислить требуемые число слагаемых , обеспечивающее заданную точность.
Суммирование с n=1 :

просуммировать
точно.
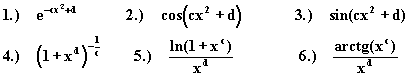
Задача 2. С точностью e = 10-4 вычислить один из 6 интегралов от 0 до b, предварительно разложив подинтегральную функцию в ряд Маклорена и найдя требуемое число слагаемых :

Условие ТР
|
номер ряда, a b c |
номер ряда, a b c |
номер ряда, a b c |
№ интеграла b c d |
Ответ ТР
|
Число слагаемых, сумма |
Число слагаемых, сумма |
Число слагаемых, сумма |
Число слагаемых, интеграл |
Напряжение на конденсаторе RLC -контура с внешней нагрузкой E(t) определяется из дифференциального уравнения 2-го порядка:

Нагрузка является периодической ( период 2 t ) функцией:
![]()
Задача 1. Найти функцию u(t) в установившемся режиме ( т.е. время после включения много больше величины 2L/R и начальные условия не влияют) в виде ряда Фурье.
Задача 2. Построить график u(t) и E(t) для 5 и 10 слагаемых
ряда Фурье и оценить погрешность.
Условие ТР
|
a b t L R C |
Ответ ТР
|
10 коэфф. ряда E(t) |
10 коэфф. ряда u(t) |
Значения u(t) и Е(t) в 11 точках 0£ t£ 2t для 10 слагаемых ряда. Погрешность 10 слагаемых |