Примеры задач по классической вероятности.

 

Д Пример 1. Одновременно бросают три разные монеты. Если нас интересует, как выпадает каждая монета ( кверху гербом или цифрой ), то целесообразно рассмотреть пространство элементарных событий W 1 ={ГГГ, ЦГГ, ГЦГ, ГГЦ, ЦЦГ, ГЦЦ, ЦГЦ, ЦЦЦ} , где, например, элементарное событие ЦГГ означает, что первая монета выпала кверху цифрой, а вторая и третья - гербом. В другом случае, если нас интересует только число выпавших гербов, то имеет смысл рассматривать пространство элементарных событий W 2 = { 0, 1, 2, 3 } , в котором каждый элемент равен числу выпавших гербов. Если же важно знать, как упали монеты одинаково ( то есть все гербом кверху или цифрой кверху ) или нет, то достаточно рассмотреть, например, пространство элементарных событий W 3 = { + , - }, где “+” означает, что все монеты упали одинаково, а “-” - различно. Г

Д Пример 2. Рассмотрим тот же опыт, что и в примере 1. Если событие А1 - вторая монета упала гербом кверху, то в пространстве элементарных событий W 1 А1 = { ГГГ, ЦГГ, ГГЦ, ЦГЦ }.

Если же событие А2 - выпал только один герб, то в пространстве W 1 А2 = { ЦЦГ, ГЦЦ, ЦГЦ }, а в пространстве W 2 А2 = { 1 }.Г

Д Пример 3. Из карточек разрезной азбуки составлено слово “математика”. Затем из карточек наугад выбирается одна. Рассмотрим пространство элементарных событий W = { а ; м ; т ; е ; к ; и } , где, например, элемент “и” означает, что выбрана карточка с буквой “и”. Обозначим через p(w ) вероятность элементарного события w . Тогда целесообразно определить вероятности элементарных событий в этом опыте следующим образом: p(a)=0.3, p(м)=p(т)=0.2, р(е)=р(к)=р(и)=0.1. Действительно, возможность выбрать карточку с буквой “а” в три раза превышает возможность выбрать карточку с буквой “е”. Очевидно, р(а)+р(м)+р(т)+р(е)+р(к)+р(и)=1. Тогда, если событие А - выбрана карточка с гласной буквой, то вероятность Р(А)=р(а)+р(е)+р(и)=0.3+0.1+0.1=0.5.Г

Д Пример 4. Игральной костью называют выполненный из однородного материала кубик, грани которого помечены номерами 1; 2; 3; 4; 5; 6 так, что сумма чисел на противоположных гранях равна семи.

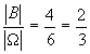
Игральная кость подбрасывается один раз. Пространство элементарных событий W = { 1; 2; 3; 4; 5; 6 } , где, например, элементарное событие 1 означает, что кость упала гранью с номером 1 вверху. Описание опыта позволяет считать все элементарные события в пространстве W равновозможными из-за симметричности игральной кости. Поэтому целесообразно полагать равными вероятности всех элементарных событий, то есть р(1)=р(2)=...=р(6)=.

Пусть событие А - на верхней грани игральной кости выпал четный номер. Тогда А={2; 4; 6 } и Р(А)=. Пусть событие В - на верхней грани игральной кости выпало простое число. Тогда В={1; 2; 3; 5} и Р(В)=.Г

Д Пример 5. Из города К в город L можно попасть через город F и G, не соединенные между собой дорогой. Пусть из города К в город F ведут 4 разные дороги, из города F в город L ведут 2 разные дороги, из города К в город G ведут 2 разные дороги и из города G в город L ведут 3 разные дороги.

Каким числом различных путей можно совершить путешествие из города К в город L через города F и G ?

По принципу умножения число различных путей из города К в город L через город F равно 4. 2=8, а число различных путей из города R в город L через город G равно 2. 3=6. Следовательно, число различных путей из города К в город L через города F или G по принципу сложения равно 8+6=14.Г

Д Пример 6. Сколько трехзначных чисел можно составить из цифр 1; 2; 3; 4; 5 так, чтобы ни одна из цифр не повторялась более одного раза ?

Каждое трехзначное число указанного вида является размещением трех цифр из пяти данных в вопросе. Поэтому количество таких чисел равно .

Размещения из n элементов по n называется перестановками множества из n элементов. Число всех различных перестановок множества из n элементов обозначается через . Очевидно, .Г

Д Пример 7. Сколькими способами можно поставить на полке пять томов “Математической энциклопедии” ?

Каждой расстановке пяти книг на полке соответствует перестановка пяти чисел 1, 2, 3, ..., 5, поэтому существует способов расстановки 5 томов “Математической энциклопедии”.Г

Д Пример 8. Сколькими способами можно выбрать из 30 учеников класса 6 дежурных ? При выборе группы дежурных играет роль только состав группы и не играет роли порядок выбора, поэтому 6 дежурных можно выбрать способами. Г

Д Пример 9. В ящике 3 белых и 4 черных шара одинаковой формы и веса. Из ящика наугад выбирают три шара сразу. Найти вероятность того, что два шара из выбранных будут черными, а один - белый.

В качестве пространства элементарных событий W в описанном эксперименте можно рассматривать множество всевозможных троек шаров из семи шаров ящика. Тогда количество элементов пространства W равно . Пусть событие А - из трех выбранных шаров два - черные, а один - белый. Число способов выбора двух черных шаров из четырех черных шаров, имеющихся в ящике, равно . Число способов выбора одного белого шара из трех белых шаров, имеющихся в ящике, очевидно, равно 3. Поэтому по принципу умножения количество элементов события А равно | A |=6.3=18. Следовательно, по классическому определению вероятности .Г

Геометрические вероятности.

 

Д Пример На окружности единичного радиуса случайным образом ставятся три точки А, В и С. Найти вероятность того, что треугольник АВС остроугольный.

Будем измерять длины дуг единичной окружности между точками в таком направлении, чтобы при движении по окружности за точкой А следовала точка В, а за точкой В - точка С. Обозначим через х - длину дуги АВ, через у - длину дуги ВС. Тогда различным исходам рассматриваемого эксперимента можно сопоставить точки плоскости ХОY с координатами х и у, удовлетворяющими неравенствам то есть, .

Если событие S - треугольник АВС остроугольный, то .

Очевидно, площадь области W равна 2p 2, а площадь области S равна . См. рис. 1. Следовательно, вероятность . Г