Вариант 3

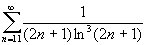
Исследовать на сходимость указанный ряд с положительными членами