Вариант 1

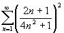
Исследовать на сходимость указанный ряд с положительными членами