Вариант 6

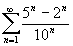
Доказать сходимость ряда и найти его сумму.

3/4