Вариант 4

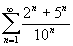
Доказать сходимость ряда и найти его сумму.

5/4