Вариант 14

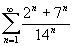
Доказать сходимость ряда и найти его сумму.

7/6