Вариант 1

 

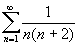
Доказать сходимость ряда и найти его сумму.

3/4