Поверхностные интегралы.
,
-
площадь поверхности, заданной параметрически: ![]()
;
здесь
,
,
,
,
,
.
- площадь поверхности заданной уравнением
,
.
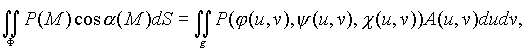
-формула вычисления поверхностного
интеграла первого рода по поверхности Ф,
заданной параметрически: ![]()
![]()
![]()
.
- формула вычисления поверхностного
интеграла по поверхности Ф, заданной уравнением
.


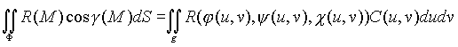
- формулы вычисления поверхностных
интегралов второго рода по выбранной стороне
поверхности Ф, заданной параметрически: ![]()
.
- формула вычисления поверхностного
интеграла второго рода по верхней стороне
поверхности Ф, заданной уравнением ![]()
.
-
формула Стокса (контур L , ограничивающий
поверхность Ф, пробегается в положительном
направлении, согласованном с ориентацией
поверхности).
-
формула Остроградского-Гаусса (поверхностный
интеграл берется по внешней стороне поверхности
Ф, ограничивающей область G).
-
выражение объема области G через поверхностный
интеграл второго рода по внешней стороне
поверхности Ф, ограничивающей эту область.