Криволинейные интегралы.
- формула вычисления
криволинейного интеграла первого рода по кривой L, заданной
параметрически:
.
- формула вычисления
криволинейного интеграла первого рода по кривой L, заданной в
декартовых координатах:
.
- формула вычисления
криволинейного интеграла первого рода по кривой L, заданной в
полярных координатах:
.
- формула вычислен6ия
криволинейного интеграла второго рода вдоль
кривой АВ:
.
- формула вычисления
криволинейного интеграла второго рода вдоль
кривой АВ:
.
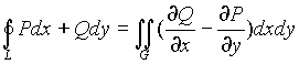
- формула Грина (граница L области G пробегается в
положительном направлении).
,
,
- формулы вычисления площади
области G,
ограниченной кривой L, с помощью криволинейного
интеграла второго рода.