Кратные интегралы. Некоторые формулы
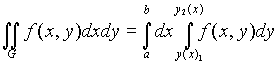
формула
вычисления двойного интеграла по области
с
помощью повторного интегрирования.
-
формула замены переменных в двойном интеграле; здесь
-
функции задающие отображение области g на область G.
-
площадь области G на плоскость Oxy.
-
площадь области g на плоскости G через криволинейные координаты u, v; здесь
g – прообраз области G при отображении ![]()
-
элемент площади в криволинейных координатах u, v.
, ![]()
-
формулы перехода к полярным координатам
;
-
якобиан перехода.
- объем тела
![]()
-формула
вычисления тройного интеграла по области
с
помощью повторного интегрирования.
-
формула вычисления тройного интеграла по области
с
помощью повторного интегрирования.
-формула
замены переменных в тройном интеграле, здесь
-функции
задающие отображение области
на Т.
-
объем тела Т в пространстве Оху.
-
выражение объема тела в пространстве Oxyz через криволинейные координаты u,
v, w; здесь
- прообраз тела Т при
отображении
.
-элемент
объема в криволинейных координатах u, v, w.
-формулы перехода к цилиндрическим координатам ![]()
- якобиан перехода.
,
, ![]()
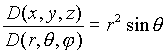
- формулы перехода к сферическим координатам
;
- якобиан перехода.
![]()
![]()
,
- формулы перехода к обобщенным сферическим координатам;
- якобиан перехода.