Дифференциальное исчисление функций нескольких переменных.

Основные формулы.

- расстояние между точками М1(x1, …, xm) и M2(y1, …, ym) координатного пространства Rm.

 


- неравенство треугольника.

 


- условие, определяющее непрерывность функции u=f(M) в точке А.

    - приращение функции в точке .

или - разностная форма условия непрерывности функции u=f(M) в точке А.

- частное приращение функции в точке , соответствующее приращению аргумента .

условие определяющее непрерывность функции по переменной .

 


определение частной производной функции по аргументу в точке .

- условие, определяющее дифференцируемость функции в точке ; здесь - числа, .

 


- уравнение касательной плоскости к графику функции в точке .

вектор нормали к графику функции в точке

 


формула производной сложной функции по переменной в точке , где , .

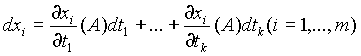
дифференциал функции в точке ; здесь , если x и t зависимые переменные, и , если - дифференцируемые в точке функции.


 

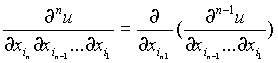
- определение частной производной п-ого порядка функциипо аргументам .

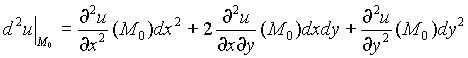
- дифференциал второго порядка функции в точке М0.

- операторная формула для дифференциала п-го порядка функции

 


- формула Тейлора для функции с центром разложения в точке .

- многочлен Тейлора функции .

- формула Лагранжа для конечных приращений для функции .

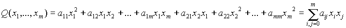
- квадратичная форма от переменных ; здесь - числа.