Скалярные и векторные поля.

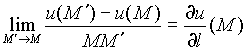
- определение производной функции (скалярного поля) и(М) в точке М по направлению .

- формула вычисления производной функции по направлению вектора .

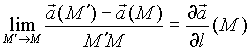
- определение производной вектор-функции (векторного поля) в точке М по направлению l.

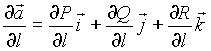
-выражение производной через координаты P(M), Q(M), R(M) ветор-функции .

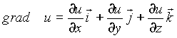
- определение градиента скалярного поля

- связь между градиентом скалярного поля и(М) и производной по направлению .

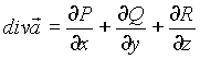
- определение дивергенции векторного поля .

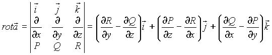
- определение ротора векторного поля .

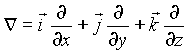
- определение оператора “набла” или оператора Гамильтона.

- выражение градиента скалярного поля и через оператор Гамильтона.

- выражение дивергенции векторного поля через оператор Гамильтона.

- выражение ротора векторного поля через оператор Гамильтона.

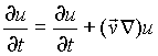
- полная производная по времени величины и для частицы, движущейся со скоростью .

- определение оператора Лапласа.

- оператор Лапласа в прямоугольных декартовых координатах.

- оператор Лапласа в цилиндрических координатах.

- оператор Лапласа в сферических координатах.

- связь между дифференциальными операциями второго порядка.

- поток векторного поля через поверхность Ф в сторону, определяемую вектором .

- формула Остроградского-Гаусса в векторной форме.

- инвариантное определение дивергенции векторного поля .

- циркуляция векторного поля вдоль кривой L в направлении, определяемом касательным вектором .

- формула Стокса в векторной форме.

- формула вычисления потенциала потенциального поля в поверхностно односвязной области.

- инвариантное определение проекции на вектор ротора векторного поля .