Тройные интегралы
I. Вычисление тройных интегралов с помощью повторного интегрирования.
II. Замена переменных в тройном интеграле
1. Цилиндрические координаты 2. Сферические координаты.
Тройные интегралы имеют те же свойства, что и двойные интегралы (линейность, аддитивность, формулы среднего значения и т.д.)
I. Вычисление тройных интегралов с помощью повторного интегрирования.
1. Предположим, что функция f(x, y, z) непрерывна в рассматриваемой области T.
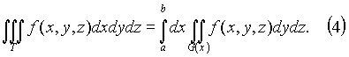
Пусть сначала T = [a, b; c, d; e, f] - прямоугольный параллелепипед, проектирующийся на плоскость yz в прямоугольник R = [c, d; e, f]. Тогда

Заменяя в (1) двойной интеграл повторным, получим

Вычисление тройного интеграла сводится к последовательному вычислению трёх определённых интегралов.
Если первые два интеграла в (2) объединить в двойной, то будем иметь

где P = [a, b; c, d] - проекция параллелепипеда T на плоскость xy.
Заметим, что в этих случаях можно менять роли переменных.
2. Пусть область T заключена
между плоскостями x = a и x = b, причём каждое
сечение области T плоскостью
представляет собой квадрируемую
фигуру G(x)(рис. 1). Тогда


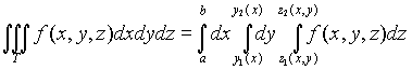
3. Пусть теперь тело T представляет собой "цилиндрический брус", ограниченный снизу и сверху, соответственно, поверхностями z = z1(x, y) и z = z2(x, y), проектирующиеся на плоскость xy в некоторую квадрируемую фигуру G (рис.2), z1(x, y) и z2(x, y) - непрерывны в G. Тогда

Если G = {(x, y): a
x
b,
y1(x)
y
y2(x)}, то

Отметим, что наряду с указанными формулами имеют место и им подобные, получающиеся перестановкой переменных x, y и z.
II.
Замена переменных в тройном интеграле
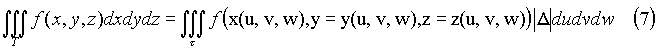
состоит в
переходе от переменных x, y, z к новым
переменным u, v, w по формулам
![]()
Если выполняются условия
1?. Отображение (6) взаимно однозначно;
2?. Функции в (6) непрерывно -
дифференцируемы в области ![]()
3?. Якобиан отображения

то имеет место формула

Формулы (6) называют криволинейными координатами (u, v, w) в области T. Рассмотрим примеры криволинейных координат.
1. Цилиндрические координаты представляют соединение полярных координат в плоскости xy с обычной декартовой аппликатой z (рис. 3).

Пусть M(x, y, z) - произвольная
точка в пространстве xyz, P - проекция точки M
на плоскость xy. Точка M однозначно
определяется тройкой чисел
- полярные координаты точки P, z -
аппликата точки M. Формулы, связывающие их с
декартовыми, имеют вид
![]()
![]()
Якобиан отображения (8) ![]()
2.
Сферические координаты. Пусть M(x,
y) - произвольная точка в пространстве xyz, P
- проекция точки M на плоскость xy. Точка M
однозначно задаётся тройкой чисел
, где r - расстояние точки M до
точки 0,
- угол между
лучами OM и OZ,
-
полярный угол точки P на плоскости xy.
Тройка чисел
называется
сферическими координатами точки M.

Они связаны с прямоугольными формулами
![]()
![]()
Якобиан отображения
. Иногда используются
обобщённые сферические координаты.
Объём V кубируемой области T (кубического тела) в пространстве xyz выражается формулой

Переходя в этом равенстве к новым переменным по формулам (6), получим выражение объёма области T в криволинейных координатах

Пусть T - материальное тело (кубируемая
область) с плотностью ![]()
Тогда
- масса тела.
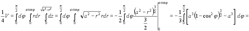
Пример1. Вычислить объём тела, ограниченного поверхностями: x2 + y2 + z2 = a2, x2 + y2 - ax = 0. (рис. 5)

Решение. Рассмотрим одну
четвёртую часть тела, лежащёю в первом октанте.
Часть поверхности
вырезанная цилиндром, проектируется в
область
. Тогда

Перейдём в интеграле к
цилиндрическим координатам по формулам (8). При
этом уравнение окружности x? + y? - ax = 0
преобразуется в кривую
а
уравнение поверхности
- к виду ![]()
Таким образом




где T - область, ограниченная
поверхностями ![]()

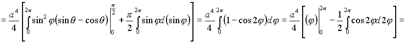
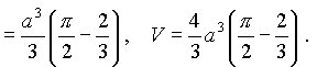
Решение. Перейдём в интеграле к сферическим координатам по формулам (9). Тогда область интегрирования можно задать неравенствами

А, значит,


